...
,

암세포막 CXCL12를 포함하는 직장 샘암종 예후 예측용 바이오마커 조성물

판매 대리인 : 기율특허

전화번호 : 02-782-1004

메일주소 : kiyul@kiyul.co.kr

판매특허요약 : 본 발명은 암세포막 CXCL12를 포함하는 직장 샘암종 예후 예측용 바이오마커 조성물에 관한 것이다.

가격 : 없음

← 뒤로

응답해 주셔서 감사합니다. ✨

SKU: 충남대학교 산학협력단 카테고리: ,

출원번호 : 10-2020-0160135 (출원일: 2020-11-25)

등록번호 : 10-2417089 (등록일: 2022-06-30)

특허권자 : 충남대학교산학협력단

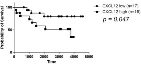
요약 : CXCL12를 포함하는 직장 샘암종 진단 또는 예후 예측용 정보제공방법, 바이오마커 조성물 또는 키트에 관한 것으로, 직장 샘암종의 종양 조직과 정상 조직에서 면역조직화학염색 방법을 이용하여 CXCL12 단백질 발현을 분석한 결과, 정상 조직에 비해 종양 조직에서 CXCL12 단백질의 암세포막에서 현저히 증가하고, 직장 샘암종의 암세포질에서 CXCL12 단백질 발현이 증가함을 확인함으로써, 본 발명의 CXCL12가 직장 샘암종의 바이오마커로 이용가능하며, 이러한 암세포막 CXCL12 발현율 분석을 통해 직장 샘암종의 진단 또는 예후 예측이 가능하고, 직장 샘암종의 예방 또는 치료제의 개발에 있어서도 활용 가치가 높을 것으로 기대된다.

대표청구항 : 직장 샘암종 (Rectal adenocarcinoma) 환자에서 분리된 종양 세포의 세포막(plasma membrane)에서 발현되는 CXCL12 (CXC chemokine ligand 12) 단백질 발현 수준을 측정하는 1 단계; 상기 세포막에서 CXCL12 단백질 발현 수준을 정상 대조군 시료와 비교하는 2단계; 및 상기 환자의 직장 샘암종 세포의 세포막에서 CXCL12 단백질 발현 수준이 정상 대조군 시료보다 높을 경우 직장 샘암종으로 판단하는 3단계; 를 포함하는 CXCL12 단백질 발현 수준을 단독 마커로 사용하여 직장 샘암종 진단 또는 예후 예측에 필요한 정보를 제공하는 방법

상세링크 : http://newsd.wips.co.kr/wipslink/api/dkrdshtm.wips?skey=3522282001233